Всегда ли полезны добавки серебра?
Новости, 12 апреля 2022
Ученые Лаборатории нейтронной физики в сотрудничестве с Институтом микробиологии и биотехнологии страны-участницы ОИЯИ – Молдовы – изучили, как себя ведут наночастицы серебра в организме животных, а также то, как они влияют на состояние их организма. Наночастицы серебра широко используются в различных областях промышленности, включая пищевую и производство косметики. Результаты проведенного исследования дают основания предполагать токсичность этих наночастиц, а могут в перспективе означать, что их использование придется ограничить или, как минимум, строго регламентировать.
Нанотехнологии – это новое направление науки и технологии, активно развивающееся в последние десятилетия. Наноматериалы все больше входят в жизнь человека, а наночастицы благодаря их уникальным свойствам усовершенствовали многие отрасли производства и потребления, включая медицину, где они используются для доставки лекарственных препаратов. Наиболее изученными на сегодняшний день являются наночастицы серебра (AgNPs), которые обладают выраженными антибактериальными свойствами при низкой токсичности и отсутствии негативного влияния на индигенную микрофлору животных. Свойства наночастиц также зависят от формы и размера частиц, что определяет их сферу применения или ограничения.
Сотрудники Лаборатории нейтронной физики ОИЯИ совместно с коллегами из Института микробиологии и биотехнологии (Кишинев, Молдова) начали цикл работ по изучению токсичности наночастиц металлов для животных. Основной целью данного исследования стало изучение влияния немодифицированных (AgNPs) и модифицированных биомассой цианобактерии Spirulina platensis (AgNPs-Spirulina) наночастиц серебра на крыс при длительном пероральном введении. Модификация поверхности наночастиц (рис. 1) различными биомолекулами контролируемым образом необходима для изменения их свойств, таких как предотвращение агрегации или усиление антимикробного действия.
«В этом исследовании были рассмотрены как обычные наночастицы серебра, так и «усиленные», синезелеными водорослями, а именно спирулиной. Немодифицированные наночастицы серебра имеют свойство «слипаться», что приводит к изменению их физических, химических и антимикробных свойств. Чтобы избежать агрегации, мы попробовали добавить спирулину, которая нетоксична для живых организмов и хорошо изучена. Она, в отличие от многих цианобактерии, не вырабатывает в ответ на действие металлов и других поллютантов альготоксины», – комментирует руководитель исследования от ОИЯИ, начальник сектора нейтронного активационного анализа и прикладных исследований ЛНФ ОИЯИ Инга Зиньковская.
Рис. 1 Наночастицы серебра, модифицированные биомассой Spirulina platensis
Эксперименты с животными проводили в виварии лаборатории физиологии стресса, адаптации и общей санокреатологии Института физиологии и санокреатологии (Кишинев, Молдова). Животные были разделены на 4 группы с разным рационом питания: 1. группа отрицательного контроля (К1) — стандартный рацион; 2. группа положительного контроля (C2) — стандартный рацион с добавлением биомассы спирулины; 3. опытная группа 1 (AgNP) — стандартный рацион с добавлением AgNP; и 4. опытная группа 2 (AgNPs-Sp) – стандартный рацион с добавлением AgNPs-спирулина. Эксперимент длился 28 дней.
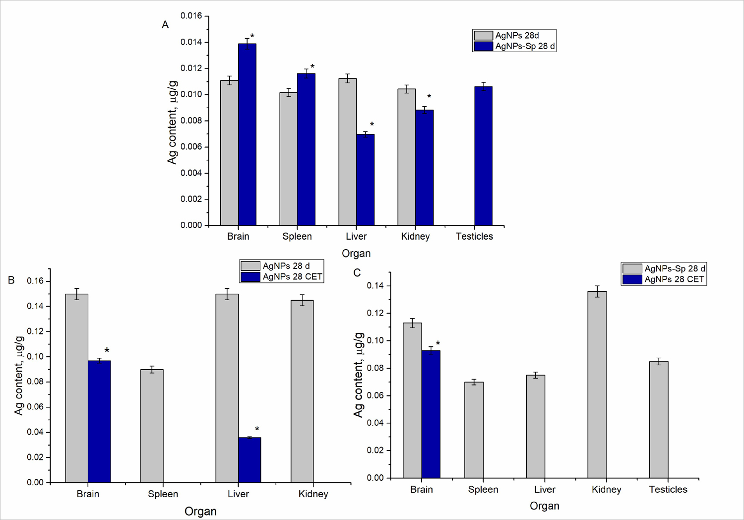
Содержание серебра в органах крыс (мозг, печень, селезенка, почки, яички и яичники) определяли методом нейтронного активационного анализа (НАА) на установке РЕГАТА реактора ИБР-2. Согласно полученным результатам, серебро было обнаружено во всех проанализированных органах животных, за исключением яичников и семенников, в которых накапливались только модифицированные наночастицы. Наибольшее содержание серебра накопилось в головном мозге, печени и почках — 0,145–0,150 мкг/г. При этом стоит отметить, что у животных, которым вводили немодифицированные наночастицы, самое высокое содержание серебра было определено в головном мозге и почках, тогда как у животных, которым вводили AgNPs-Spirulina, серебро в основном накапливалось в головном мозге и яичках (рис. 2).
Часть животных по окончании эксперимента переводили на стандартный рацион питания и после периода полувыведения (28 дней), содержание серебра в органах определяли НАА. Как показали данные НАА, серебро выводилось из селезенки, печени и почек. Так, его содержание в печени снизилось на 76%. Однако выведение из мозга было очень низким, независимо от типа применяемых наночастиц.
Рис. 2 Содержание серебра в органах крыс: (A) животные, которым вводили AgNPs и AgNPs-Spirulina в течение 28 дней, измеренное сразу после окончания эксперимента; (B) животные, которым вводили AgNP в течение 28 дней измеренное после периода полувыведения; (C) животные, которым вводили AgNPs-Spirulina в течение 28 дней измеренное после периода полувыведения
С целью выявления действия наночастиц на крыс были проведены гематологические и биохимические тесты. Была обнаружена значительная разница в содержании эозинофилов в экспериментальной и контрольной группах. Гематологические показатели крыс под действием наночастиц серебра существенно не изменились, за исключением содержания ретикулоцитов и эозинофилов, которое значительно увеличилось. Изменения биохимических показателей не выходили за пределы нормы. Однако изменение значений показателей функции почек и печени может указывать на возможную токсичность наночастиц серебра. Наночастицы серебра размером 8–20 нм могут легко проникать через гематоэнцефалический барьер, а их низкое выведение из мозга указывает на необратимость этого процесса.
«Наночастицы такого диапазона размеров наиболее часто используются в промышленности. Особенно в косметике. И хотя мы видим, что они не повлияли на формулу крови и на функциональное состояние органов животных, очевидно, что они накапливаются в мозге. Это требует пристального внимания, поскольку с течением времени накопленные наночастицы могут оказать токсический эффект, который отразится на когнитивных функциях мозга, — подвела итог Инга Зиньковская. — Таким образом, наночастицы серебра следует использовать с осторожностью. Исследования в данном направлении мы будем продолжать».
Rudi L., Zinicovscaia I., Cepoi L., Chiriac T., Peshkova A., Cepoi A., Grozdov D. Accumulation and effect of silver nanoparticles functionalized with Spirulina platensis on rats // Nanomaterials. 2021, V. 11, P. 2992. https://doi.org/10.3390/nano11112992