Research perspectives of NA61/SHINE experiment at SPS in CERN
Publications, 13 November 2020
We are glad to invite you to read the article “New Results and Research Perspectives of NA61/SHINE Experiment at CERN SPS” by A. I. Malakhov and V. A. Matveev. The article was published in the 3rd issue of the bulletin “JINR News” 2020.
The research program of NA61/SHINE experiment includes several directions [1–3] and continues the studies at NA49 setup [4]: search for the critical point of strongly interacting nuclear matter in relativistic nucleus–nucleus collisions and a detailed study of deconfinement start-up, i.e., search and investigation of the transition between two phases of strongly interacting matter; measurement of the cross section of the charged hadron yield for neutrino physics; measurement of the cross section in hadron–hadron reactions for the physics of cosmic rays; measurement of the charmed quark yield in the lead nucleus collisions at the SPS energy.
Search for the critical point of strongly interacting matter is performed in NA61/SHINE experiment by means of scanning the phase diagram both on temperature and baryonic chemical potential that is achieved by measurements at different energy as well as by studying dependences on sizes of colliding systems. The latter is reached by means of changing the type of the used nuclei and studying the collisions in different fields of centrality.
Besides casual distributions of multiplicity and transverse momenta of particles, the NA61/SHINE experiment also studies post-event fluctuations of the so-called strongly intensive values which represent a combination of the first and second distribution momenta of such physical values as multiplicity, transverse momenta of distributions of secondary particles and energy of the having-not-interacted spectator nucleons.
The latest results refer to the properties of the produced particles and event fluctuations in the proton–proton interactions: Be + Be and Ar + Sc, at the beam energy of 19A, 30A, 40A, 75A and 158A GeV/c. Preliminary results have been obtained on charged kaons in the Ar + Sc interactions with the centrality of 10%.
Figure 1 demonstrates the current state of dynamic properties of the energy dependence of the kaon to pion yield ratio and the inverse slope parameter of the kaon spectra on the transverse mass well-known as “step” and “horn” structures. In the Pb + Pb collisions these structures have been predicted due to mixed phase of hadron gas production (HG) and quark–gluon plasma (QGP). We have found a rapid change of “horn” in the energy dependence of K/π in the central Pb + Pb and Au + Au collisions that is interpreted by the motivated start-up of deconfinement in nuclear interactions, i.e., transition from HG to QGP. The NA61/SHINE experiment has supplemented these data with new measurements in reactions p + p, Be + Be and Ar + Sc, which show unexpected and interesting features.
Fig.1. Top: the inverse slope parameter of the transverse mass spectra in the central rapidity region for K+ and K– mesons in dependence on collision energy in the p + p, Be + Be, Ar + Sc and Pb + Pb/Au + Au collisions. Bottom: K+/π+ ratio in the central rapidity region and 〈K+〉/〈π+〉 ratio in the total phase space 4π as the function of collision energy of p + p, Be + Be, Ar + Sc and Pb + Pb/Au + Au
Briefly they are as follows: the energy dependence of the inverse slope parameter in p + p interactions has a form of plateau “step”; the data on Be + Be collisions are close to the results for p + р interactions; the data on Ar + Sc interactions reveal the dependence on the collision energy which is qualitatively analogous to the data in the p + p reaction, but the plateau is located at a significantly higher level.
The results for the p + p interactions obtained in NA61/SHINE experiment have been considered as an indication of the opportunity of demonstrating deconfinement in smaller systems.
It is a surprise that in the Ar + Sc data there is no indication of the “horn” structure.
The data in the Xe + La collisions registered in NA61/SHINE expect to be analyzed to clarify the physics of the above mentioned picture.
Earlier the preliminary results of the analysis have been obtained by means of the intermittence method for protons in the Ar + Sc and Ве + Be collisions at 150A GeV/с. The analysis of preliminary results on the Be + Be and Ar + Sc collisions can be the first possible indication of the existence of the critical point in Ar + Sc reaction, in the meantime, there is no signal in the data on Be + Be. At present there is an attempt to improve the estimate of statistical significance of this result. Based on the observed factorial moment ΔF2(M) confidence interval for Ar + Sc experimental data (Fig.2, left), one can conclude that ~95% of values are above the zero line, indicating a statistically significant separation of real data from mixed events (background). Figure 2 (right) shows that only 1–5% of uncorrelated proton background events produce a ΔF2(M) signal as strong as the one observed in experimental result being nonrandom. One may therefore assign 95% statistical significance to the observed experimental result being nonrandom.
Fig. 2. Left: factorial moment ΔF2(M) original sample values for 10–15% central Ar + Sc collisions at 150A GeV/c (black points); the error bars correspond to “bootstrap” of the standard error; the color bands indicate the “bootstrap” confidence intervals; the solid blue line gives the medium value of the “bootstrap” samples. Right: the same experimental ΔF2(M) values (black points) compared to the ΔF2(M) results for simulated random background protons
A group of employees from the JINR Veksler and Baldin Laboratory of High Energy Physics contributed a lot of efforts to obtain the experimental data given above, in particular, in registering spectra of secondary particles and calibration of the time-of-flight system which had earlier been developed and constructed at JINR [4]. The employees from the Dzhelepov Laboratory of Nuclear Problems actively participated in NA61 experiment in measuring the cross section of the charged hadron yield for neutrino physics [5]. Physicists from JINR have also fulfilled original investigations using the approach to the study of relativistic nuclear interactions in the four-dimensional velocity space; this approach was developed earlier by A.Baldin [6]. The principles of similarity and automodelity turned out to be very fruitful in studying nuclear interactions at high energy [7].
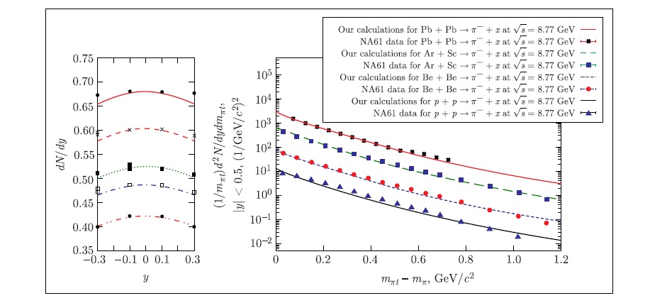
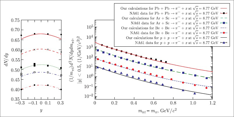
In particular, using the similarity principle the physicists for the first time have obtained the analytical description of pion rapidity distributions while interacting with relativistic nuclei, which excellently describe the NA61/SHINE data registered at all projectile momenta in the range from 20 to 158 GeV/с [8]. These results are given in Fig.3 (left).
Figure 3 (right) shows a good description of the experimental data, and thus it has been shown that the similarity method in the space of four-dimensional velocity is very efficient in defining interactions of relativistic nuclei. It is important to emphasize that there are only two constants required to describe the data at all the energies.
Fig. 3. Left: rapidity pion distributions (y) in р + р collisions at projectile momenta Pin = 158 GeV/с (solid red curve), 80 GeV/с (dashed red curve), 40 GeV/с (green curve), 31 GeV/с (blue curve), 20 GeV/с (red lower curve) in comparison with NA61/SHINE experiment in the process p + p → π– + x. Right: the results of our calculations of spectra mπt in Pb + Pb, Ar + Sc, Be + Be and p + p collisions in the central rapidity region at the projectile momentum per nucleon Pin = 40 GeV/с in comparison with the data of NA61/SHINE experiment [8]
In 2018, the Program Advisory Committee of CERN approved a new physical program for NA61/SHINE experiment after 2021 which includes a study of D-meson production in lead nuclei collisions at the energy of 150A GeV [9].
In 2019, at CERN the upgrade of the NA61/SHINE setup began in practically all detector systems necessary to provide experiments after 2020 at increasing the intensity of the lead ion beam by more than 10 times and, consequently, the velocity of the trigger operation.
A group of employees from JINR is responsible for upgrading the time-of-flight system (ToF) of the setup. The previous time-of-flight system for particle identification consisted of two walls having 891 scintillation detectors each. One of the walls was made at JINR. The time resolution on the average was 75 ps that provided to separate kaons from pions till the momentum 8 GeV/с [4]. After 20 years of work, most of the parts of the system would have required a significant reconstruction. In this connection there was a decision to substitute the old system for the new detector based on Multigap Resistive Plate Chambers (MRPC) [10] that became possible due to the JINR Directorate grant.
There were three tests of MRPC detectors at CERN SPS: in December 2016 on the proton beam of 30A GeV/с, in August 2018 in the aureole of proton beam 150A GeV/с, and in November 2018 using the Pb proton beam of 150A GeV/с.
The measured time resolution of MRPC was stable in all the tests and did not exceed the value of 50 ps. During 2021–2022 it is planned to complete manufacturing the new ToF system for NA61/SHINE experiment. At present the start-up of detector production has begun
The data obtained in the NA61/SHINE experiment are extremely important to construct a theory of relativistic interactions of nuclei. They are widely used for planning experiments at the MPD/NICA complex.
However, the obtained physical results presented above show that there are still many non-fixed issues in the field of relativistic nucleus interactions. Thus, to continue the research at the NA61 setup of the CERN accelerator complex in the coming period of its operation is extremely important. The research planned at the NICA complex of JINR would enrich the experiments being performed and significantly improve understanding the interaction process of relativistic nuclei.
References
- Melkumov G. (NA61 Collab.). Recent Results of Strong Interaction Program from NA61/SHINE Experiment at CERN SPS // Eur. Phys. J. Web of Conf. 2019. V.204. P.010.
- NA61/SHINE Collab. Report from the NA61/SHINE Experiment at the CERN. SPSCERN-SPSC-2019-041/SPSCSR-261 04/10/2019.
- Gazdzicki M. (NA61 Collab.). Fluctuations and Correlations from NA61/SHINE // PoS CPOD. 2018. V.2017.P.012.
- Afanasev S. et al. A Large Acceptance Hadron Detector // Nucl. Instr. Meth. A. 1999. V. 430. P.210–244.
- Aduszkiewicz A. (NA61 Collab.). Measurements of Production and Inelastic Cross Sections for p + C, p + Be, and p + Al at 60 GeV/c and p + C and p + Be at 120 GeV/c // Phys. Rev. D. 2019. V.100, No.11. P.112004.
- Baldin A.M., Malakhov A.I. Relativistic Multiparticle Processes in the Central Rapidity Region at Asymptotically High Energies // JINR Rapid Commun. 1998. No.1(87). P.5‒12.
- Matveev V.A., Muradyan R.M., Tavkhelidze A.N. Automodelity in Strong Interactions // Teor. Mat. Fiz. 1973. V. 15, No. 3. P. 332–339.
- Malakhov A.I., Lykasov G.I. Mid-Rapidity Dependence of Hadron Production in p−p and A−A Collisions // Eur. Phys. J. A. 2020. V.56, No. 4. P. 114.
- Aduszkiewicz A. (NA61/SHINE Collab.). Study of Hadron–Nucleus and Nucleus–Nucleus Collisions at the CERN SPS: Early Post-LS2. Measurements and Future Plans // Tech. Rep. CERN-SPSC-2018-008. SPSC-P-330-ADD-10, CERN, Geneva, March, 2018; https://cds.cern.ch/record/2309890.
- Babkin V. et al. Development of the MRPC for the TOF System of the MultiPurpose Detector // Nucl. Instr. Meth. A. 2016. V.824. P.490–492.