При изучении сверхтяжелых водородов в ЛЯР ОИЯИ обнаружена новая мода ядерного распада
Новости, 22 сентября 2023
22 сентября, во второй день проведения 134-й сессии Ученого совета Объединенного института, были вручены Премии ОИЯИ за 2022 год. В число награжденных вошла научная группа сотрудников Лаборатории ядерных реакций: Андрей Безбах, Леонид Григоренко, Александр Горшков, Сергей Крупко, Иван Музалевский, Евгений Никольский, Гурген Тер-Акопьян, Андрей Фомичев, Вратислав Худоба и Павел Шаров. Цикл публикаций по теме «Новые данные по спектрам сверхтяжелых изотопов водорода 7H, 6H и обнаружение моды спонтанного распада с испусканием четырех нейтронов» был отмечен второй Премией ОИЯИ в категории «Научно-исследовательские экспериментальные работы».
Одну из давно стоявших знаковых проблем экспериментальной ядерной физики – обнаружение самых тяжелых изотопов водорода 6Н и 7Н – удалось разрешить ученым Лаборатории ядерных реакций ОИЯИ в первых экспериментах на фрагмент-сепараторе АКУЛИНА-2. Были получены новые данные по спектрам сверхтяжелых изотопов водорода 6H и 7H и обнаружен вариант спонтанного ядерного распада с одновременным испусканием четырех нейтронов. Сейчас ученые продолжают совершенствовать экспериментальное оборудование и готовиться к новым экспериментам. В августе 2023 года вышла статья коллектива, посвященная реперным реакциям при получении сверхтяжелых водородов.
Начальник группы Лаборатории ядерных реакций ОИЯИ Андрей Безбах занимается внедрением новых прецизионных детекторных систем на фрагмент-сепараторе ACCULINNA-2 (действующая нейтронная стенка)
На данный момент ученым известны семь изотопов водорода, среди которых в природе существуют три изотопа: стабильные протий 1H (наиболее распространенный) и дейтерий 2H, а также радиоактивный тритий 3H с периодом полураспада ~ 12 лет. Все прочие изотопы водорода, 4-7Н, были синтезированы в лабораториях – это нестабильные ядра, и время их существования измеряется в 10-22 – 10-24 секунды. «Водород-6 и водород-7 изучают уже более сорока лет в различных научных центрах мира, однако непосредственно наблюдать эти ядра невозможно из-за слишком короткого времени жизни, возможно лишь зарегистрировать продукты их распада, что свидетельствует о резонансных состояниях этих ядер», — рассказал начальник группы детекторных систем ЛЯР ОИЯИ Андрей Безбах. Он сообщил, что группа ученых ЛЯР в экспериментах по получению сверхтяжелых водородов, проведенных в 2018 – 2020 годах и проанализированных к 2022 году, ближе всех подошла к пониманию свойств ядра 7Н.
Исследование имело целью изучение легких экзотических ядер водорода-6 и водорода-7, что играет принципиальную роль для понимания свойств других изотопов. «С помощью доступных радиоактивных пучков мы имеем возможность определять свойства тех легких экзотических ядер, которые нам доступны, проверять эти свойства и пытаться их интерпретировать. Накопленный опыт на относительно простых системах мы можем экстраполировать в область более экзотических ядер», — прокомментировал Андрей Безбах.
Ученый рассказал, что на протяжении вот уже более чем 40 лет сверхтяжелые изотопы водорода 7Н и 6Н являются одной из загадок ядерной физики и представляют повышенный интерес по ряду причин. Это самые нейтроноизбыточные системы, какие только можно себе представить: на один протон в ядре приходится 6 и 7 нейтронов соответственно. В ядре 7Н замыкается подоболочка p3/2 для изотопов водорода – больше нуклонов «поместить» на эту орбиталь невозможно, следовательно, в случае его обнаружения открываются новые возможности исследования оболочечной динамики в условиях исключительного дефицита протонов. «Замыкание этой подоболочки в 7H также говорит о том, что существование достаточно долго живущих более тяжелых изотопов водорода крайне маловероятно. Это выходит за рамки существующих физических представлений и теоретических предсказаний», — рассказал ученый.
Кроме того, есть все основания полагать, что распад основного состояния 7Н имеет уникальную динамику – так называемый «истинно» 5-частичный распад 7Н → 3Н + 4n. При этом четыре нейтрона могут испускаться практически одновременно. Такая динамика распада подразумевает исключительно большие времена жизни, вплоть до того, что возможно существование новой моды радиоактивного распада — четырехнейтронной радиоактивности. Под большими временами жизни 6Н-7Н имеются в виду доли секунды, достаточные для того, чтобы зарегистрировать детекторами эти изотопы.
Первый доказанный случай такого варианта распада водорода-7 был получен в экспериментах на фрагмент-сепараторе АКУЛИНА-2 циклотрона У-400М в Лаборатории ядерных реакций ОИЯИ. Попытки изучения свойств основного состояния ядра водород-7 неоднократно предпринимались ранее в ведущих мировых центрах, таких как RIKEN (Япония), GANIL (Франция), GSI (Германия). Однако эти попытки оставались безуспешными и не позволили сделать количественных заключений. При невысоком экспериментальном разрешении ~ 2 МэВ и более все ранее наблюдаемые в спектре 7Н структуры должны были сливаться в один непрерывный спектр, а слабо заселяемое основное состояние 7Н могло «тонуть» в фоновых событиях и событиях из первого возбужденного состояния. В работах на установке АКУЛИНА-2 исследователи сумели достичь наилучшего на сегодняшний день разрешения эксперимента: для основного состояния Е ~ 2.2 МэВ ΔE составила ~ 1 МэВ (ПШПВ, полная ширина на половине высоты – разница между максимальным и минимальным значениями аргумента функции, взятыми на уровне, равном половине ее максимального значения).
Рис. 1. Схема размещения фрагмент-сепаратора АКУЛИНА-2 в зале ускорителя У-400М
Фрагмент-сепаратор АКУЛИНА-2 на ускорителе тяжелых ионов У-400М был запущен в Лаборатории ядерных реакций ОИЯИ в 2017 году. «С введением в строй АКУЛИНА-2 поиск изотопа 7Н стал реалистической задачей — для исходного радиоактивного ядра-снаряда 8He с энергией около 26 МэВ/нуклон были получены интенсивности около 105 частиц в секунду, что близко к рекордным мировым достижениям», — рассказал Андрей Безбах.
В 2018 году были начаты первые физические эксперименты с радиоактивными пучками 6Не, 8Не, 9Li, 10Be, 27S, а также продолжалось дальнейшее развитие экспериментальных методик с целью повышения светимости и энергетического разрешения экспериментов. Цикл работ по этой теме был удостоен второй Премии ОИЯИ за 2020 год.
Кроме того, продолжалось развитие теоретических подходов для изучения редких каналов распадов с испусканием 4 нейтронов [1]. О результатах проведенных работ рассказывают сами ученые.
В 2018 и 2019 годах на установке АКУЛИНА-2 были проведены два эксперимента с интервалом в один год. Изучалась реакция 2Н(8Не,3Не)7Н при энергии 8Не 26 МэВ/нуклон. В первом эксперименте [2] ядра 3Не, вылетающие из газовой криогенной мишени дейтерия с энергией 9 – 25 МэВ под углом 8° – 26° к направлению траектории бомбардирующего ядра 8Не, регистрировались с помощью двух телескопов кремниевых детекторов в совпадении с летящими вперед ядрами 3Н, ожидаемыми продуктами распада 7Н. В эксперименте было впервые обнаружено сравнительно узкое (шириной — 2.0(5) МэВ) возбужденное состояние 7Н с энергией ЕT = 6.5(5) МэВ над порогом распада 3Н + 4n. В полученном энергетическом спектре 7Н была также зарегистрирована выделенная группа из пяти событий в диапазоне 0.5 < ЕT < 2.5 МэВ, возникновение которой было объяснено возможным образованием основного состояния 7Н с энергией ЕT = 1.8(5) МэВ над порогом распада 3Н+4n. Все указанные события предполагаемого основного состояния 7Н были зарегистрированы в системе центра масс реакции 2Н(8Не,3Не)7Н в диапазоне углов 17° — 27°, соответствующем ожидаемому положению второго дифракционного максимума сечения для заселения основного состояния.
Основываясь на опыте работы [2], в эксперименте [3], проведенном в апреле 2019 года, была улучшена методика измерений. С целью получения данных о заселении искомого резонанса основного состояния 7Н в угловом диапазоне, отвечающем первому дифракционному максимуму реакции 2Н(8Не,3Не)7Н, был понижен до 6° предел регистрируемых углов вылета ядер отдачи 3Не. Было удвоено количество телескопов для регистрации 3Не. Кроме того, при помощи нейтронной стенки, установленной на базе 2 м от мишени, регистрировались нейтроны, что повышало надежность вывода об идентификации 7Н и каналах распада. В рамках эксперимента [3] было проведено дополнительное калибровочное измерение: спектр энергии для ядра 9Li был получен с использованием реперной реакции 2Н(10Bе,3Не)9Li при энергии Е(10Ве) = 44 МэВ/нуклон. Это позволило по известным уровням 9Li независимо определить экспериментальное разрешение и сделать необходимую калибровку всей установки. Результаты эксперимента [3] полностью подтвердили результаты [2]. Была учетверена полная статистика эксперимента. В низкоэнергетической части спектра 5 событий являлись тройными совпадениями 3He-3H-n, и находились точно в областях обнаруженных пиков. В спектре недостающей массы обнаружены 11 событий, относящиеся к основному состоянию 7Н с ЕT = 2.2(5) МэВ. Эти события собраны в две группы по ц. м. углу реакции 5° — 10° и 17° — 27°, в соответствии с ожидаемыми для основного состояния первым и вторым дифракционными максимумами. Обнаружены два узких состояния ЕT = 5.5 и 7.5 МэВ, которые можно интерпретировать как дублет 5/2+-3/2+; в условиях эксперимента [2] они сливались в одной структуре с ЕT = 6.5 МэВ. Из данных [2, 3] следует указание на наличие резонансного состояния с ЕT = 11 МэВ.
Методика постановки эксперимента [3] позволила также изучить спектр состояний ядра 6Н, заселяемый в реакции 2Н(8Не,4Не)6Н [4]. Предполагалось, что по аналогии с 7Н регистрация тритонов высокой энергии в совпадении с 4Не будет служить индикатором одного или нескольких последовательных распадов 6Н. Калибровочное измерение в реакции 2Н(10Bе,4Не)8Li подтвердило эффективность используемого метода для идентификации 8Li и изучения механизма (d,α) реакции. Спектр недостающей массы 6Н восстанавливался из спектра низкоэнергетических 4He, зарегистрированных в совпадении с тритонами и нейтронами. Согласно симуляции экспериментов и полученных данных, энергетическое разрешение в спектре недостающей массы было лучше, чем 2 МэВ. В эксперименте [4] была получена рекордная для системы 6Н статистика: более 4 000 двойных совпадений 4He-3H и порядка 130 тройных совпадений 4He-3H-n. В восстановленном спектре 6Н важным открытием было полное отсутствие возможных состояний в диапазоне ЕT < 3.5 МэВ над порогом распада 3H+3n. Этот результат не согласуется с данными пионерской работы [Aleksandrov et al., “Observation of nonstable heavy hydrogen isotope 6Н in the reaction 7Li(7Li, 8B)”. Yad. Fiz., 39:513, 1984.], где впервые декларировалось наблюдение резонансного состояния 6Н при энергии ЕT = 2.7(4) МэВ (формирование этого бампа объясняется [4] заселением основного состояния 5Н в реакции 7Li(7Li, 9B*)5H, идущей с большим на порядок сечением). Из корреляционного анализа данных [4] с учетом тройных совпадений 4He-3H-n были установлены два возможных состояния изотопа 6Н при ЕT ~ 4.5 (g.s.) и 6.8 МэВ.
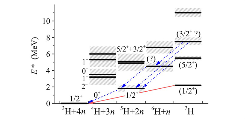
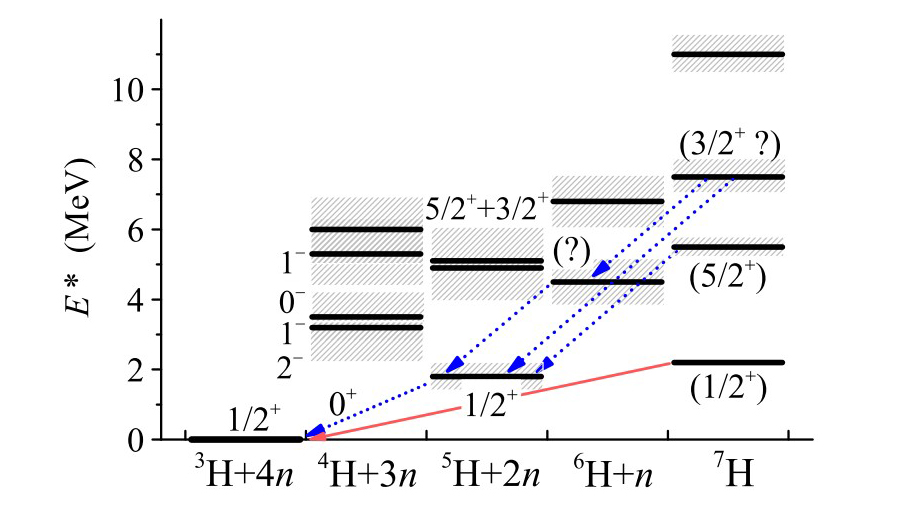
Рис. 2. Схема уровней и возможных каналов распадов 6,7Н. Красная стрелка соответствует открытому каналу с испусканием 4-х нейтронов
По результатам работы, посвященной поиску низколежащих состояний 7Н в реакции 2Н(8Не,3Не)7Н и 6Н в реакции 2Н(8Не,4Не)6Н, были сделаны следующие основные выводы:
- положение основного состояния 7Н (предположительно 1/2+) определено как 2.2(5) МэВ над порогом 3Н+4n с шириной, определяемой экспериментальным разрешением ~ 1 МэВ.
- Наблюдается дублет (предположительно 5/2+-3/2+) относительно узких состояний при энергии 5.5(3) и 7.5(3) МэВ. Центроид дублета хорошо согласуется с возбужденным состоянием 7Н 6.5 МэВ, наблюдавшимся в эксперименте [2] и неразрешимым по энергии в его условиях.
- Исключительно низкое сечение заселения основного состояния 7Н (~ 25 µb/sr) объясняется крайней периферийностью взаимодействия в канале 8He+d, подтверждаемой также угловыми распределениями dσ/dΩc. m.. Это отражает повышенную аморфность и «хрупкость» данной нейтронно-избыточной системы, не выживающей при центральных столкновениях.
- Полученные результаты объясняют безуспешность поиска основного состояния 7Н в предыдущих экспериментах. При невысоком экспериментальном разрешении ~ 2 МэВ или хуже все ранее наблюдаемые в спектре 7Н структуры должны сливаться в один непрерывный спектр, а слабо заселяемое основное состояние 7Н может «тонуть» в фоновых событиях и событиях из первого возбужденного состояния.
- Прежде декларируемое основное состояние 6Н при энергии ~ 2.6‒2.9 МэВ над порогом 3Н+3n не наблюдалось в нашем эксперименте 2Н(8Не,4Не)6Н с пределом на сечение dσ/dΩc. m. < 5 µb/sr.
- В спектре 6Н была обнаружена широкая структура при энергии 6.8 МэВ над порогом 3Н+3n с сечением dσ/dΩc. m. ~ 190 µb/sr, типичным для прямой реакции передачи дейтрона. Эта структура может быть интерпретирована как одно или несколько резонансных состояний с нижним пределом на энергию ЕT = 4.5 МэВ для основного состояния.
- Полученная в результате экспериментов [2-4] схема уровней и распадов «сверхтяжелых» изотопов водорода 7Н и 6Н (Рис. 2) позволяет утверждать, что распад основного состояния ядра 7Н возможен с одновременным испусканием четырех нейтронов («истинный» пятичастичный распад 3Н+4n). Это первый доказанный случай существования такой моды ядерного распада.
- В первых экспериментах на новом фрагмент-сепараторе АКУЛИНА-2 удалось разрешить одну из давно стоящих знаковых проблем экспериментальной ядерной физики — обнаружение изотопов 6Н и 7Н, а также продвинуться на пути изучения новой моды спонтанного ядерного распада с одновременным испусканием 4n. Этапы данной работы неоднократно докладывались на международных конференциях по ядерной физике, семинарах ЛЯР и ОИЯИ.
В настоящее время коллектив ученых продолжает анализировать накопленные данные проведенных экспериментов и готовит новые эксперименты, которые возобновятся на циклотроне У-400М после его модернизации. В частности, сотрудники ЛЯР ведут работы по созданию специализированной нейтронной стенки (Bezbakh et al., «Detector array for the 7H nucleus multi-neutron decay study», preprint, 2022). «Качество эксперимента можно существенно повысить благодаря регистрации нейтронов, испускаемых при распаде водорода-7. В прошлом эксперименте мы использовали около 40 нейтронных детекторов, в будущем мы увеличим это число до 150. Тем самым мы кратно увеличим светосилу эксперимента. Сейчас мы занимаемся электроникой, системой сбора данных нейтронной стенки, постепенно готовя ее ко вводу в эксплуатацию. Задача корпусирования, размещения этого массива детекторов и симуляции эксперимента – очень непростая», — прокомментировал Андрей Безбах.
Кроме того, он рассказал, что в августе этого года научная группа ЛЯР, получившая премию ОИЯИ, выпустила статью о реперных реакциях при получении сверхтяжелых водородов (Nikolsky et al., «Study of proton and deuteron pickup reactions (d,3He), (d,4He) with 8He and 10Be radioactive beams at ACCULINNA-2 fragment separator», NIM-B, 2023).
В будущем коллектив ученых продолжит претворять в жизнь амбициозную научную программу ЛЯР ОИЯИ, в том числе по изучению экзотических ядер 7Н.
Список работ цикла:
- P.G. Sharov, L.V. Grigorenko, A. Ismailova, M.V. Zhukov, “Pauli-principle driven correlations in four-neutron nuclear decays”, JETP Letters 110 (2019) 5-14 [Письма в ЖЭТФ 110 (2019) 7-8; arXiv:1808.00513].
- A.A. Bezbakh, V. Chudoba, A.V. Gorshkov, S.A. Krupko, S.G. Belogurov, D. Biare, A.S. Fomichev, E.M. Gazeeva, L.V. Grigorenko, G.Kaminski, O. Kiselev, D.A. Kostyleva, I. Mukha, I.A. Muzalevskii, E.Yu. Nikolskii, Yu.L. Parfenova, A.M. Quynh, A. Serikov, S.I. Sidorchuk, P.G. Sharov, R.S. Slepnev, S.V. Stepantsov, A. Swiercz, P. Szymkiewicz, G.M. Ter-Akopian, R. Wolski, B. Zalewski, M.V. Zhukov, “Evidence for the first excited state of 7H”, Physical Review Letters 124 (2020) 022502 [arXiv:1906.07818].
- I.A. Muzalevskii, A.A. Bezbakh, E.Yu. Nikolskii, V. Chudoba, S.A. Krupko, S.G. Belogurov, D. Biare, A.S. Fomichev, E.M. Gazeeva, A.V. Gorshkov, L.V. Grigorenko, G. Kaminski, O. Kiselev, D.A. Kostyleva, M.Yu. Kozlov, B. Mauyey, I. Mukha, Yu.L. Parfenova, W. Piatek, A.M. Quynh, V.N. Schetinin, A. Serikov, S.I. Sidorchuk, P.G. Sharov, N.B. Shulgina, R.S. Slepnev, S.V. Stepantsov, A. Swiercz, P. Szymkiewicz, G.M. Ter-Akopian, R. Wolski, B. Zalewski, M.V. Zhukov, “Resonant states in 7H: Experimental studies of the 2H(8He,3He) reaction”, Physical Review C 103 (2021) 044313 [arXiv: 2010.09655].
- E.Yu. Nikolskii, I.A. Muzalevskii, A.A. Bezbakh, V. Chudoba, S.A. Krupko, S.G. Belogurov, D. Biare, A.S. Fomichev, E.M. Gazeeva, A.V. Gorshkov, L.V. Grigorenko, G. Kaminski, O. Kiselev, D.A. Kostyleva, M.Yu. Kozlov, B. Mauyey, I. Mukha, Yu.L. Parfenova, W. Piatek, A.M. Quynh, V.N. Schetinin, A. Serikov, S.I. Sidorchuk, P.G. Sharov, N.B. Shulgina, R.S. Slepnev, S.V. Stepantsov, A. Swiercz, P. Szymkiewicz, G.M. Ter-Akopian, R. Wolski, B. Zalewski, M.V. Zhukov, “6H states studied in the 2H(8He,4He) reaction and evidence of an extremely correlated character of the 5H ground state”, Physical Review C 105 (2022) 064605 [arXiv:2105.04435].
