Measurement of analyzing powers for nucleon-nucleus scattering in momentum range from 1.75 to 5.4 GeV/c

News, 19 January 2022

A team of authors represented by O. Gavrishchuk, D. Kirillov, J. Mušinskẏ, C. Perdrisat, N. Piskunov, V. Punjabi, P. Rukoyatkin, I. Sitnik, E. Tomasi-Gustafsson, R. Shindin has won the First JINR’s Prize for 2020 in the nomination “Physics Instruments and Methods” for their scientific paper “Measurement of analyzing powers for nucleon-nucleus scattering in momentum range from 1.75 to 5.4 GeV/c”. On behalf of the ALPOM-2 collaboration, N. M. Piskunov (Laboratory of High Energy Physics JINR) and E. Tomasi-Gustafsson (France) comment on the work.


Nucleons (protons and neutrons), the components of the atomic nucleus, can be polarized. This means that their spins are preferentially aligned along a quantization axis. The spin is a quantum property of a particle and has its classical analogue in a spinning top. The strong interaction that acts among nucleons in the atomic nucleus is sensitive to polarization. For a better understanding of the strong interaction and of the structure of the nucleon and nuclei, it is interesting to measure the polarization of the particles produced in a nuclear reaction. The instruments measuring the polarization are called polarimeters. Conceiving, building, testing and validating the working principle of hadron polarimeters requires proton and neutron polarized beams of known polarization. Today, such beams of energy in the GeV range are available only at the Nuclotron complex of JINR (Dubna) in Russia. The first measurement of analyzing powers for polarized neutrons on a thick (heavy) target has been carried out.

The elastic reaction eN→eN (N is a neutron or a proton) with a longitudinally polarized electron beam and measuring the polarization of the recoil nucleon allow one to access the electric to magnetic form factor ratio μGEp/GMp, following a method suggested by A. I. Akhiezer and M. P. Rekalo [1]. Such a double polarization observable depends on an interference term and is very sensitive to a small electric contribution. A series of experiments at the Jefferson Laboratory (USA) have made significant contribution to studying the ratio of the form factors of the proton [2, 3] (Fig. 1).

The proposed method requires two successive reactions: 1) a primary reaction with the detection of the recoil particle, the polarization of which must be measured; 2) the second interaction with the polarimeter target to measure its polarization. The second reaction should be simple for identification and very sensitive to the particle polarization. This is quantified by two observables: 1) the cross section, which characterizes the probability that such a reaction occurs; 2) the analyzing power Ay that quantifies the sensitivity of the reaction to the polarization of the incoming particles. The performance of a polarimeter is given in terms of Figure of Merit, FOM=εA2y, which is the function of the efficiency, ε, defined as the ratio of “useful” to incident events and of the analyzing power, Ay.

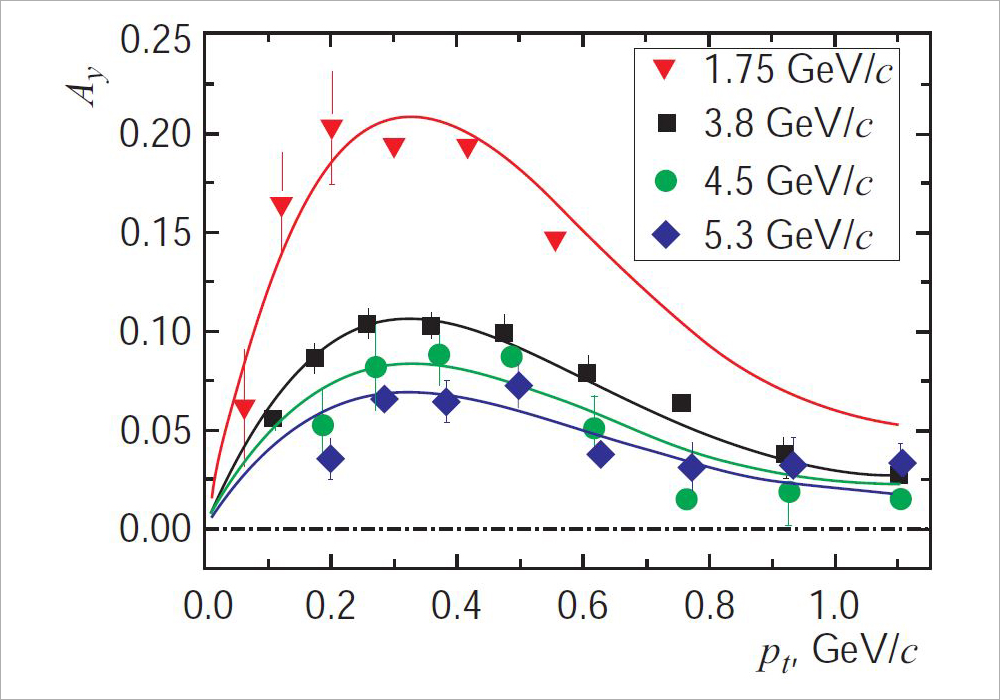
Proton analyzing powers have been measured at the JINR synchrophasotron on a CH2 target for beam momenta in the range 1.75–5.3 GeV/c. The results on the analyzing powers as a function of the transverse momentum pt = plab sin θ are shown in Fig. 2 for different proton momenta [4]. After obtaining preliminary measurement results in Dubna, Jefferson Laboratory PAC approved the GEp(3) (Fig. 1) measurement of the ratio of proton form factors up to 8.5 GeV2.

Fig. 1. Proton form factor ratio as a function of the momentum transfer squared, measured by the JLab-GEp Collaboration in a series of experiments [2]. The values of future measurements in experiment E12-07-109 [3] are also shown (purple squares)

In order to compensate for the decrease of the analyzing powers when the energy of the particle increases (Fig. 2), it is necessary to develop new-generation polarimeters and study their performances. Three major findings were highlighted in our recent measurements at Nuclotron, where the analyzing powers were determined at proton (neutron) momentum from 3 to 4.2 GeV/c [5]:

Fig. 2. Dependence of the analyzing powers on the transverse momentum pt = plab sin θ for different momenta of the proton beam [4]

  1. A hadron calorimeter was added downstream. The granularity was sufficient to measure the azimuthal asymmetry of the detected particles to be compared with the asymmetry reconstructed from the tracks (Fig. 3). Excellent agreement between both asymmetry measurements makes it possible to use the calorimeter for proton polarimetry with and even without track detectors. The impact of the selection on the energy deposit in the calorimeter is shown in Fig. 4 for the neutron case. A twofold increase in Ay is seen for the charge exchange reaction caused by the neutron beam, and the FOM value changes from 8 · 10–5 to 1.1 · 10–4 at irradiation of a copper target 4 cm thick. For the reaction caused by a proton beam, Ay increases by a factor of 1.3. Selecting tracks with high-energy deposit removes the events with multiple tracks that dilute the information on the polarization.
  2. Fig. 3. Azimuthal dependence Ay for p + CH2- scattering at a momentum of 3.0 GeV/c, obtained from triggered modules of the hadron calorimeter (blue squares) and by tracks (red circles)

    Fig. 4. Analyzing powers for the charge exchange n + Cu corresponding to different cuts on the energy deposit by the charged particle detected in the calorimeter, as shown on top right

  3. With an increase in the momentum, the charge exchange reaction becomes much more efficient in comparison with elastic (or inelastic) scattering and with an obvious advantage in the neutron case, when one charged particle (proton) is detected in the forward direction.
  4. Heavy targets are at least as efficient as hydrogen-rich light targets, which greatly simplifies the conception of a polarimeter; this is understood as if the reaction carrying the information on the particle polarization is the “quasi-free” NN scattering.

The ALPOM-2 results show that it is still possible to conceive high-energy polarimeters, and therefore to pursue high-energy polarization measurements. In particular, the future Jefferson Lab measurements of form factors for protons [3] and for neutrons [6] at large momentum transfer have already integrated the implementation of hadron calorimetry, the use of heavy secondary targets and the detection of the charge-exchange reaction. The ALPOM-2 Collaboration will pursue the polarimetry studies to the largest beam momenta that will be available in Dubna. About twenty physicists from JINR, France, Russia, Slovakia, the USA, and the United Kingdom take part in the measurements.

References:

  1. Akhiezer A.I., Rekalo M.P. // Sov. J. Part. Nucl. 1974. V.4. P. 277.
  2. Puckett A. J.R. (The GEp Collab.) // Phys. Rev. C. 2017. V.96. P. 055203; Ibid. 2018. V. 98. P.019907.
  3. Perdrisat C.F. et al. JLab Exp. E12-07- 109. 2007.
  4. Azhgirei L. S. et al. // Nucl. Instr. Meth. A. 2005. V. 538. P. 277.
  5. Basilev S.N. et al. // Eur. Phys. J. A. 2020. V.56. P.26.
  6. Annand J.R.M. et al. JLab Exp. E12-17- 004. 2017