Исследование механизмов взаимодействия коронавирусов с клеточной мембраной

Публикации, 12 ноября 2020

Предлагаем вашему вниманию статью Д. Соловьева и М. Жерненкова «Исследование механизмов взаимодействия коронавирусов с клеточной мембраной», опубликованную в третьем выпуске Бюллетеня ОИЯИ за 2020 год.

Вирусы являются внеклеточной формой жизни, имеющей собственный геном. При этом обязательное условие для размножения и распространения вируса — его проникновение внутрь клеток человека или животного. Поэтому вирусные патогены часто являются причиной возникновения эпидемий, парализующих привычный режим функционирования большого количества людей. Последствия пандемии коронавируса SARS-CoV-2 в очередной раз подтвердили важность развития научных направлений, призванных предотвратить распространение вирусных инфекций. В связи с этим учеными из Лаборатории нейтронной физики ОИЯИ совместно с коллегами из Брукхейвенской национальной лаборатории (США) начаты комплексные исследования в этой области. Планируется использовать преимущества методов нейтронного и синхротронного рассеяния для выявления особенностей структурных и динамических характеристик клеточной мембраны, содержащей трансмембранный рецепторный белок АСЕ2, во время взаимодействия с вирусным патогеном SARS-CoV-2 (рис. 1). В рамках работ будут проведены эксперименты на лучших мировых источниках синхротронного излучения: ESRF (Франция), SPring-8 (Япония), APS (США), а также на установках реактора ИБР-2.

Рис. 1. Схематическое изображение взаимодействия липидной мембраны, содержащей рецепторный белок АСЕ2, и коронавирусных патогенов SARS-CoV-2

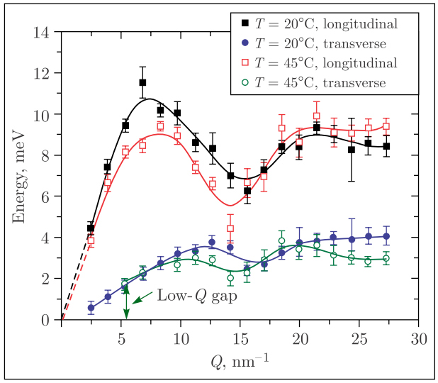
Стоит отметить, что запланированные исследования являются логическим продолжением предыдущих работ по изучению липидных мембран. Так, в 2014 г. методом неупругого рассеяния рентгеновских лучей высокого разрешения были изучены коллективные колебания липидных молекул в однокомпонентных мембранах 1,2-дипальмитоил-sn-глицеро-3-фосфатидил-холин (ДПФХ) [1]. Впервые удалось экспериментально доказать существование поперечной акустической фононной моды в липидной мембране. Также было показано, что при нагревании липида выше температуры фазового перехода Tm указанная фононная мода имеет разрыв в области малых значений вектора рассеяния Q (рис. 2).

Рис. 2. Дисперсионные кривые продольной и поперечной акустических фононных мод, распространяющихся в липидной мембране ДПФХ

Наблюдаемый разрыв связан с процессами диффузии и релаксации, происходящими в липидной мембране, и является прямым признаком кратковременного (порядка нескольких пикосекунд) спонтанного возникновения в мембране липидных кластеров нанометрового размера, окруженных пустотами (рис. 3). Эти поры определяют механизм пассивного транспорта растворенных веществ сквозь липидную мембрану.

Рис.3. Спонтанное образование пор в липидной мембране

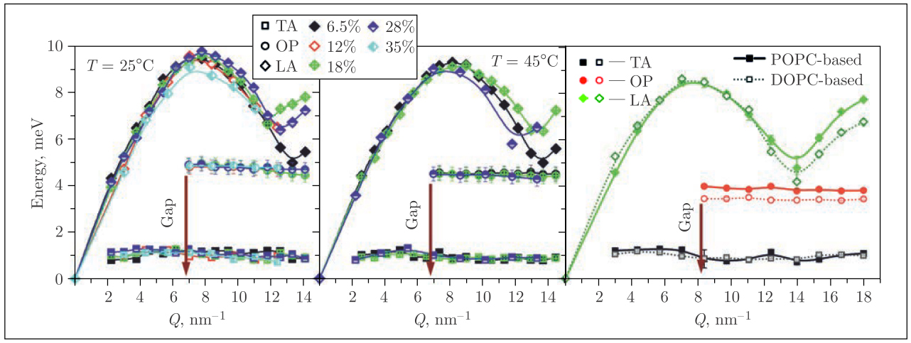
Применение метода неупругого рассеяния рентгеновских лучей и компьютерного моделирования методом молекулярной динамики позволило детально изучить процессы фазового разделения в более сложных двух- и трехкомпонентных липидных мембранах ДПФХ–холестерин и ПОФХ/ДОФХ–ДПФХ–холестерин [2]. Возникновение оптических фононных мод на дисперсионных кривых таких систем (рис. 4) свидетельствует о существовании в них стабильных (на пикосекундной шкале времени) функциональных липидных пар молекул ДОФХ, ПОФХ, ДПФХ и холестерина, которые колеблются в противофазе вокруг их центра масс (рис. 5). При этом наблюдаемый разрыв оптических фононных мод является следствием конечного размера областей (нанодоменов), образованных указанными липидными парами.

Рис.4. Дисперсионные кривые: двойных липидных систем ДПФХ–холестерин (слева и посередине) при разных температурах и концентрациях холестерина (см. легенду); тройных липидных систем ПОФХ/ДОФХ–ДПФХ–холестерин при 37 °С (справа). Разрыв оптической фононной моды обозначен стрелкой

Рис. 5. Схематическое изображение функциональных липидных пар, которые формируют нанодомены. В результате когерентных противофазных колебаний соседних молекул ДПФХ и холестерина относительно их статических центров масс (черные круги) внутри нанодомена поддерживается распространение оптической фононной моды

Известно, что именно свойства липидной мембраны во многом определяют набор биологических функций отдельных клеточных компонентов, включая мембранные белки. При этом измеренная нами сверхбыстрая динамика функциональных липидных пар соизмерима по временной и энергетической шкале с процессами релаксации трансмембранных белков. Поэтому изучение структурных и динамических свойств липидных мембран в присутствии вирусной инфекции поможет понять фундаментальные особенности взаимодействия клетки с вирусным патогеном.

Список литературы


  1. Zhernenkov M., Bolmatov D., Soloviov D., Zhernenkov K., Toperverg B.P., Cunsolo A., Bosak A., Cai Y. Q. Revealing the Mechanism of Passive Transport in Lipid Bilayers via Phonon-Mediated Nanometre-Scale Density Fluctuations // Nat. Commun. 2016. V. 7. P. 11575.
  2. Soloviov D., Cai Y. Q., Bolmatov D., Suvorov A., Zhernenkov K., Zav’yalov D., Bosak A., Uchiyama H., Zhernenkov M. Functional Lipid Pairs as Building Blocks of Phase-Separated Membranes // Proc. Nat. Acad. Sci. USA. 2020. V. 117(9). P. 4749‒4757.