“Development and software implementation of efficient methods of event simulation, reconstruction and analysis for the MPD/NICA experiment”
News, 27 July 2021
Second JINR Prize 2020 in the nomination “Physics Instruments and Methods” was presented to the team of authors V. Vasendina, V. Voronyuk, A. Zinchenko, D. Zinchenko, V. Kireev, V. Kolesnikov, A. Mudrokh, J. Aichelin, E. Bratkovskaya for their series of works “Development and software implementation of effective methods for modeling, reconstruction, and analysis of events in the MPD/NICA setup”.


According to the authors, the results obtained have essentially confirmed and refined physics parameters of the experimental setup, considered in the project proposal, and allowed the collaboration to actualise the physics programme of the MPD experiment.
The main goal of the NICA/MPD project is the study of heavy ion collisions with energies √sNN = 4–11 GeV for investigation of hadron properties in the dense nuclear matter, as well as the equation of state of the nuclear matter and properties of phase transitions, including search for the onset of deconfinement, critical endpoint and partial chiral symmetry restoration. Physics tasks of the experiment are very ambitious and complex not only because of large uncertainties in theoretical predictions, but, as a result, of the high precision required for measurement of small effects. It is planned to perform a high-precision scan of the phase diagram by varying the collision energy and size of the colliding system via the impact-parameter and/or atomic number of the colliding particle beams. Significant part of the physics program requires reconstruction and analysis of physics probes, carrying information on the nuclear matter state: dileptons, particles with strangeness (hyperons and hypernuclei) and open charm. It should be noted that theoretical models predict quite low yields of some probes planned for investigation, making very difficult the task of their reconstruction and selection from a background, especially in the conditions of the high particle multiplicity (~1000 in the detector acceptance).
The first stage of the multi-purpose detector MPD will comprise the time projection chamber TPC and the time-of-flight system TOF for momentum measurement and identification of charged particles, as well as the electromagnetic calorimeter EMC for energy measurement and identification of electrons and photons.
The commissioning of the NICA complex and the start of scientific experiments on MPD are planned for 2023. To the moment when the first experimental data from heavy ion collisions are recorded, methods of data processing and analysis should be developed and implemented in the software, as well as thoroughly tested using realistic Monte Carlo simulation of the detector, and different model distributions should be produced allowing their comparison with experimental results.
Results, obtained within the scope of the series of works presented:
1. Development of event generators of heavy ion collisions.
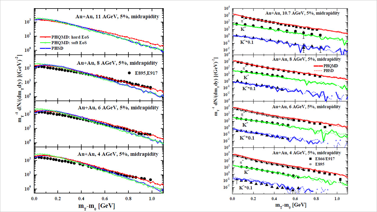
1.1. Development and software implementation of transport models and generators for description of heavy-ion interactions. Based on the transport model PHSD a new generator PHQMD with a dynamical formation of nuclear clusters and hypernuclei is created. Some predictions for the NICA energy range are obtained in the form of Monte Carlo files for their further usage for simulations of MPD characteristics (Fig. 1). Within the PHQMD generator an approach is realized for implementation of different equations of hadronic state.
Fig. 1. Comparison of PHQMD model predictions with data from the AGS accelerator: dn/dy and mT distributions for p, π+, K+, K–, Λ+Σ0 (centrality 5%, Au+Au, kinetic energy 4, 6, 8, 10.7 GeV per nucleon).
1.2. Development and software implementation of approaches for description of polarization effects in heavy-ion interactions. The vorticity of the nuclear matter, produced in non-central heavy-ion collisions was studied within the PHSD transport model. Utilization of the 2-nd order splines made it possible to obtain a smooth distribution map of the particle flux and continuous vorticity. Within the thermodynamic approach of Becattini, the estimates of the global lambda hyperon polarization were produced inside the rotating medium at the isochronous freeze-out. The results obtained for particles are consistent with the experimental data (Fig. 2 left). The polarization difference of particles and antiparticles observed requires further investigation. As a natural extension of the approach, the polarization at the chemical freeze-out was studied (Fig. 2 right). The generator files produced can be used for simulation and analysis of the experimental setup.
Fig.2. Global polarization of Λ hyperons as a function of the freeze-out time (left). Energy dependence of the polarization, evaluated at the dynamical chemical freeze-out (right).
2. Development and software implementation of event reconstruction methods at MPD.
2.1. Development and software implementation of methods of track reconstruction and hadron and light nuclei identification at MPD. In order to estimate physics potential of the setup and adequacy of its parameters to the physics goals declared, a software package for track reconstruction in the TPC has been created based on the Kalman filtering tecnique. In the pseudorapidity range defined by the TPC dimensions (|η|<1.2) the reconstruction efficiency above 90% was obtained for primary and secondary tracks with pT>0.1 GeV/c. Primary vertex reconstruction precision in transverse and longitudinal directions ~0.15 mm was demonstrated in central collisions with track multiplicity in TPC >500 and momentum resolution better than 2% for pT<1.5 GeV/c. Using information on dE/dx in the TPC gas and the time-of-flight from the TOF, allowing one to compute m2 of particles, it was shown to be possible to obtain the π/K and K/p separation up to momentum of 1.5 GeV/c and 3 GeV/c, respectively (Fig. 3).
Fig. 3. Reconstructed ionization losses in the ТРС gas for hadrons and light nuclei versus particle momentum (left) and combined particle separation from dEdx in TPC and m2 in TOF for 1 GeV/с momentum (right).
2.2. Development of reconstruction methods taking into account realistic description of the detector response. In order to produce well-grounded model predictions and prepare the software for real data processing, it was necessary to perform simulation with realistic description of the detector response. As a consequence, additional algorithm tuning and procedure development for signal reconstruction in detectors were required. In particular, for coordinate and energy loss determination in the TPC from charge distributions in readout chambers in high-multiplicity conditions, a charge distribution deconvolution method has been developed and implemented. As one of the important conclusions, it was demonstrated that new estimates of the MPD characteristics closely reproduced the earlier ones, used in the detector conceptual design and its original physics program (Fig. 4).
Fig. 4. Primary and secondary track reconstruction efficiency in the TPC (left) and TPC-TOF matching results (right).
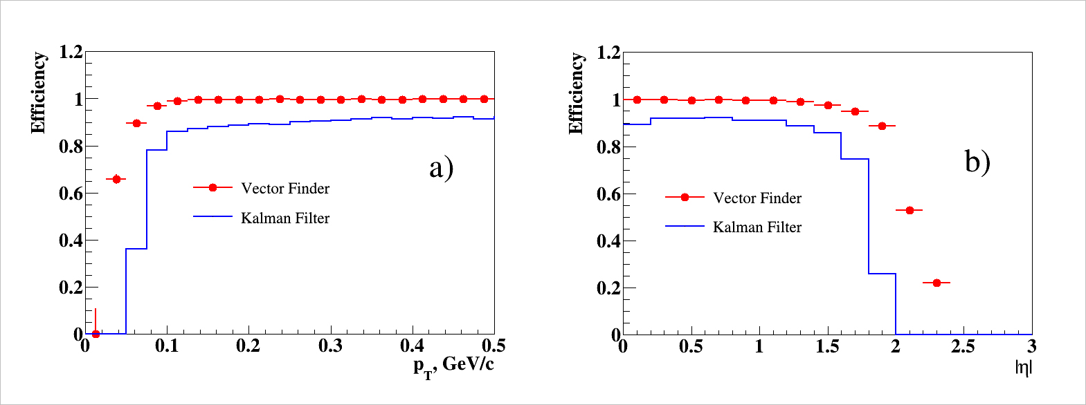
2.3. Development and implementation of event reconstruction methods in the upgraded MPD setup. The MPD upgrade plans foresee construction and installation of detectors in the end-cap region for hermeticity improvement as well as an inner tracking system based on silicon detectors for better reconstruction of short-lived particles. Justification of the setup upgrade, detector configuration and technology choice require their rather detailed study making use of simulation and reconstruction methods adequate to their expected characteristics. In particular, for the inner tracker based on new generation silicon pixel sensors, two track reconstruction approaches were implemented (Fig. 5) demonstrating the ability of the future tracking system to study charmed particles, carrying additional information about properties of the hot and dense nuclear matter on early stages of its evolution. In addition, possible application areas of machine learning techniques for data processing in MPD were evaluated.
Fig.5. Track reconstruction efficiencies in the vertex detector from the old (lines) and new (symbols) methods versus transverse momentum (a) and pseudorapidity (b).
3. Development and software implementation of approaches to selection and analysis of physics signals.
3.1. Моnte Carlo simulation and reconstruction of e+e–– pairs (dileptons) from decays of neutral vector mesons (ρ,ω,φ). Such correlated e+e– – pairs are the best candidates for investigation of hadron spectral function modifications in nuclear medium resulting from expected partial chiral symmetry restoration in nucleus-nucleus collisions, because these pairs interact only electromagnetically in the dense hadronic matter and, therefore, carry precise information on the medium properties at the moment of their creation. Dilepton study is an ambitious task because reconstruction of ρ, ω and φ decays to dileptons is very sensitive to the electron reconstruction and identification quality due to very large combinatorial background. Therefore, during the analysis a fine tuning of the TPC-TOF matching procedure and electron and positron identification were done for additional suppression of the hadronic background. The pion suppression factor obtained was ~105, and the residual hadron contamination amounted to ~1.5% after making use of the electromagnetic calorimeter. It was shown that the MPD configuration with TPC, TOF and EМC allowed one to measure mass spectra of light dileptons with sufficient precision, in particular, with mass resolution σ = 14–17 МeV/c2 for ω and φ mesons, and to obtain the signal/background ratio for the invariant mass range 0.2-1.5 ГэВ/с2 at the world class level (Fig. 6). Moreover, the results obtained served as an important argument justifying the necessity of the electromagnetic calorimeter for MPD.
Fig. 6. Signals from ω and φ mesons after background subtraction in e+e– – invariant mass spectrum in comparison with the generated (true) distribution (left) and comparison of the signal/background ratio for dileptons in different experiments (right).
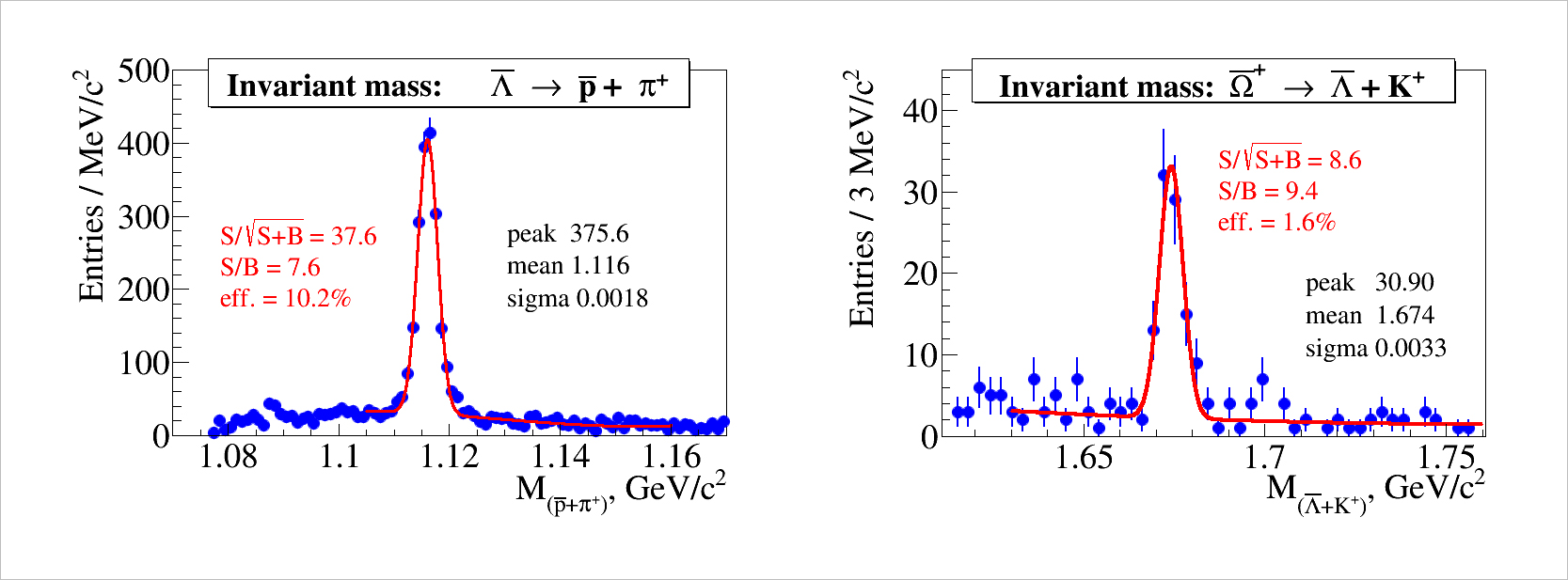
3.2. Hyperon simulation and reconstruction Λ, Ξ±, Ω± . Study of strange particle production is very important because their enhanced yield in nucleus-nucleus collisions relative to elementary рр reactions has been proposed as a signature for the deconfinement. Hyperons also can serve as a convenient tool for testing and tuning of the software, since their reconstruction require sufficient quality of the secondary track, primary (beam collision) and secondary (decay) vertex reconstruction methods. Daughter particle identification is important as well. This task also requires the data processing speed optimization for processing of large data volumes, necessary to obtain large enough signal statistics (especially for (anti)hyperons with multi-strangeness). Therefore, during this analysis the algorithms of particle reconstruction and identification were tested and tuned and the approaches for signal selection and background suppression were optimized. As the simulation study showed, even the start configuration of MPD (with TPC and TOF detectors) demonstrated good performance for hyperon studies (including cascades). Obtained mass resolution of Λ, Ξ±, Ω± hyperons was ~2–3 МeV/c2, and the signal/background ratio observed of 5.7-10 with sufficiently high particle yield (Fig. 7).
Fig. 7. Observation of signals from rare strange probes – antilambda and antiomega hyperons – in the invariant mass spectra of their decay products obtained in early MPD simulation studies.
3.3. Hypernuclei simulation and reconstruction 3ΛH, 4ΛHe.. Relativistic heavy-ion collisions, where lots of strange particles (kaons and hyperons) are produced, offer a unique possibility to create exotic nuclear objects with strangeness (hypernuclei). The energy range of the NICA research program covers the region of the maximal baryon density where the production rates of nuclear clusters with strangeness are predicted to be enhanced considerably. For hypernuclei selection and analysis, the high quality of hadron and light nuclei identification is important, therefore additional separation of energy loss curves of deutrons, tritons, He3 and He4 in the TPC gas was tuned. As a result, the possibility to select light hypernuclei via the invarinat mass peaks of their decay products has been demonstrated (Fig. 8).
Fig. 8. Observation of signals from light hypernuclei in the invariant mass spectra of their decay products obtained in early MPD simulation studies.
3.4. Application of realistic simulation for development of approaches to physics data analyses. The transition to the realistic simulation stage made it possible to approach the situation expected during the real data processing, i.e. allowed one to begin developing and tuning physics analysis procedures for their usage in realistic environment. In particular, the revised results on the yields of strange particles and hypernuclei have been obtained (Fig. 9), which essentially confirmed earlier estimates and increased the reliability of physics predictions, serving as a basis of the experimental program.
Fig. 9. Reconstructed invariant mass of Λ hyperon with ideal (Monte Carlo truth) (left) and realistic identification of daughter tracks (right) in realistic simulation.
Thus, the international team of authors has developed and implemented new modern software packages, including the event generator for a variety of tasks, realistic description of detector response, reconstruction and identification of particles, methods of signal selection (of rare electromagnetic and strange probes) for Monte Carlo simulation and future analysis of experimental data in the JINR flagship project NICA/MPD, planned to be launched in 2023.
All the software chains have been successfully tuned and tested during the simulation of several physics tasks.
The results obtained were presented on several sessions of the JINR PAC for particle physics, MPD Collaboration meetings, MPD Detector Advisory Committee meetings, as well as included in 20 talks at different conferences.
The series of works by the team of authors: Veronika Vasendina, Vadim Voronyuk, Alexander Zinchenko, Dmitry Zinchenko, Viktar Kireyeu, Vadim Kolesnikov, Alexander Mudrokh, Elena Bratkovskaya, Joerg Aichelin – was carried out in 2013-2020 and published in scientific journals and conference proceedings under the JINR Topical plan theme 1065: «NICA Complex: Design and Construction of the Complex of Accelerators, Collider and Physics Experimental Facilities at Extracted and Colliding Ion Beams Aimed at Studying Dense Baryonic Matter and the Spin Structure of Nucleons and Light Ions, and at Carrying out Applied and Innovation Projects», 02-0-1065-2007/2023, project MPD.
Alexander Zinchenko, Candidate of Physics and Mathematics
leading researcher of Scientific and Experimental Department of Physics of Heavy Ion Collisions at NICA,
LHEP JINR